Тип Д25 C1 № 314340 

Источник: Банк заданий ФИПИ
Раздел кодификатора ФИПИ: Алгебраические выражения, уравнения, неравенства и их системы. Алгебраические выражения
i
Сократите дробь

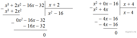
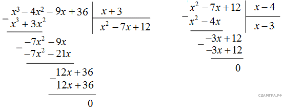
Решение. Последовательно разделим многочлен на одночлены в столбик:
x3 − 2x2 − 9x + 18
x − 2
x3 −
x2
x2 − 9
0x2 − 9x + 18
0x2 − 9x + 18
0
x2 + 0x − 9
x + 3
x2 + 3x
x − 3
− 3x + 9
− 3x + 9
0
Ответ: x – 3.
Приведем другое решение.
Разложим числитель на множители, используя метод группировки:



Критерии проверки:| Критерии оценивания выполнения задания | Баллы |
|---|
| Правильно выполнены преобразования, получен верный ответ | 2 |
| Решение доведено до конца, но допущена ошибка или описка вычислительного характера, с её учётом дальнейшие шаги выполнены верно | 1 |
| Другие случаи, не соответствующие указанным выше критериям | 0 |
| Максимальный балл | 2 |
Источник: Банк заданий ФИПИ