Тип Д25 C1 № 314352 

Источник: Банк заданий ФИПИ
Раздел кодификатора ФИПИ: Алгебраические выражения, уравнения, неравенства и их системы. Алгебраические выражения
i
Сократите дробь

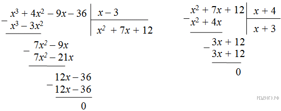
Спрятать решениеРешение. Последовательно разделим многочлен на одночлены в столбик:

Ответ: 
Приведем другое решение.
Разложим числитель на множители, используя метод группировки:



Спрятать критерииКритерии проверки:| Критерии оценивания выполнения задания | Баллы |
|---|
| Правильно выполнены преобразования, получен верный ответ | 2 |
| Решение доведено до конца, но допущена ошибка или описка вычислительного характера, с её учётом дальнейшие шаги выполнены верно | 1 |
| Другие случаи, не соответствующие указанным выше критериям | 0 |
| Максимальный балл | 2 |
Источник: Банк заданий ФИПИ
Раздел кодификатора ФИПИ: