Ниже представлены ученические решения экзаменационных заданий. Оцените каждое из них в соответствии с критериями проверки заданий ЕГЭ. После нажатия кнопки «Проверить» вы узнаете правильный балл за каждое из решений. В конце будут подведены итоги.
Задание 311262
Задание 349101
Задание 352498
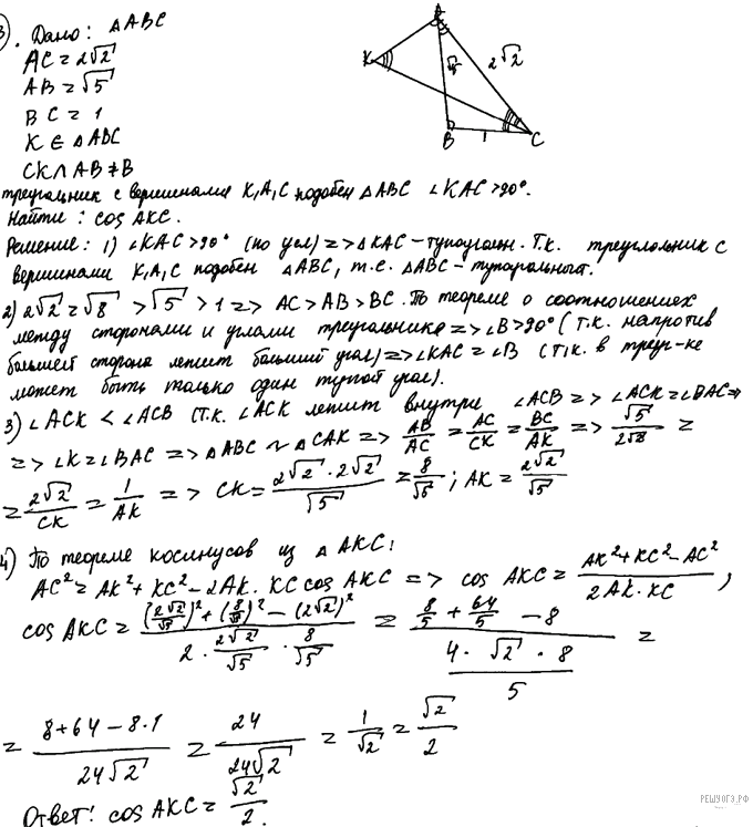
Задание № 311262
Стороны AC, AB, BC треугольника ABC
и 1
Решение
По условию то есть треугольник KAC — тупоугольный. Тогда подобный ему ABC также тупоугольный. Определим соответственные углы. Так как напротив большего угла лежит большая сторона, то
тогда
Так как
то
и
Следовательно,
а потому
По теореме косинусов в треугольнике AKC имеем:
Подставляя, получаем, что
Ответ:
Примечание.
Можно не вычислять длины сторон: углы подобных треугольников равны, следовательно, равны и их косинусы. Тогда:
| Критерии оценивания выполнения задания | Баллы |
|---|---|
| Ход решения верный, все его шаги выполнены правильно, получен верный ответ | 2 |
| Ход решения верный, чертёж соответствует условию задачи, но пропущены существенные объяснения или допущена вычислительная ошибка | 1 |
| Другие случаи, не соответствующие указанным критериям | 0 |
| Максимальный балл | 2 |
Пример 1.
Оцените это решение в баллах:
Задание № 349101
В треугольнике ABC биссектриса угла A делит высоту, проведенную из вершины B, в отношении 25 : 24, считая от точки B. Найдите радиус окружности, описанной около треугольника ABC, если
Решение
Обозначим BH высоту, проведенную из вершины B. Биссектриса, проведенная из угла A, делит высоту в отношении, равному отношению AB и AH. Значит, поэтому
По теореме синусов, радиус описанной около треугольника ABC окружности равен отношению стороны треугольника к удвоенному синусу противолежащего угла:
Ответ: 25.
Пример 1.
Оцените это решение в баллах:
Задание № 352498
В треугольнике ABC биссектриса угла A делит высоту, проведенную из вершины B, в отношении 5 : 4, считая от точки B. Найдите радиус окружности, описанной около треугольника ABC, если
Решение
Обозначим BH высоту, проведенную из вершины B. Биссектриса, проведенная из угла A, делит высоту в отношении, равному отношению AB и AH. Значит, поэтому
По теореме синусов радиус описанной около треугольника ABC окружности
Ответ: 5.
Пример 1.
Оцените это решение в баллах:
Пример 2.
Оцените это решение в баллах:
Пример 3.
Оцените это решение в баллах:
Наверх
Вернуться на основную страницу «Школы экспертов»

