Ниже представлены ученические решения экзаменационных заданий. Оцените каждое из них в соответствии с критериями проверки заданий ЕГЭ. После нажатия кнопки «Проверить» вы узнаете правильный балл за каждое из решений. В конце будут подведены итоги.
Задание 311249
Задание 311257
Задание 353282
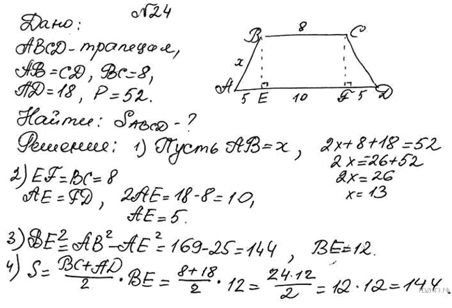
Задание № 311249
Основания равнобедренной трапеции равны 8 и 18, а периметр равен 56.
Найдите площадь трапеции.
Решение
Трапеция равнобедренная, значит,
и
Тогда,
Ответ:
| Критерии оценивания выполнения задания | Баллы |
|---|---|
| Получен верный обоснованный ответ | 2 |
| При верных рассуждениях допущена вычислительная ошибка, возможно приведшая к неверному ответу | 1 |
| Другие случаи, не соответствующие указанным критериям | 0 |
| Максимальный балл | 2 |
Пример 1.
Оцените это решение в баллах:
Пример 2.
Оцените это решение в баллах:
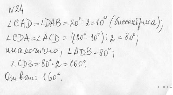
Задание № 311257
На сторонах угла BAC, равного 20°, и на его биссектрисе отложены равные отрезки AB, AC и AD. Определите величину угла BDC.
Решение
Так как отрезки равны, то треугольники ACD и ABD — равнобедренные. Углы при основании этих треугольников равны:
Найдем искомый угол:
Ответ: 170°.
Приведем решение Галины Рогачевой (Челябинск).
Построим окружность с центром в точке A и радиусом
Угол BAC — центральный, следовательно, дуга BDC равна 20°, тогда большая (не содержащая точку D) дуга BC равна Угол BDC — вписанный, опирается на дугу 340°, тогда
Пример 1.
Оцените это решение в баллах:
Пример 2.
Оцените это решение в баллах:
Оцените это решение в баллах:
Задание № 353282
Высота AH ромба ABCD делит его сторону CD на отрезки и
Найдите высоту ромба.
Решение
Из прямоугольного треугольника ADH найдем
Ответ: 10
Пример 1.
Оцените это решение в баллах:
Пример 2.
Оцените это решение в баллах:
Пример 3.
Оцените это решение в баллах:
Пример 4.
Оцените это решение в баллах:
Наверх
Вернуться на основную страницу «Школы экспертов»

