Школа экспертов C 2018 года раздел не обновляется.
Вернуться на основную страницу «Школы экспертов»Ниже представлены ученические решения экзаменационных заданий. Оцените каждое из них в соответствии с критериями проверки заданий ЕГЭ. После нажатия кнопки «Проверить» вы узнаете правильный балл за каждое из решений. В конце будут подведены итоги.
Задание 342559
Задание 342565
Задание № 342559
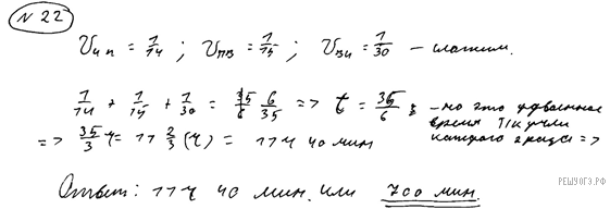
Игорь и Паша могут покрасить забор за 14 часов, Паша и Володя — за 15 часов, а Володя и Игорь за 30 часов. За какое время покрасят забор мальчики, работая втроем. Ответ дайте в минутах.
Решение
Ответ: 700 минут.
| Критерии оценивания выполнения задания | Баллы |
|---|---|
| Правильно составлено уравнение, получен верный ответ | 2 |
| Правильно составлено уравнение, но при его решении допущена вычислительная ошибка, с её учётом решение доведено до ответа | 1 |
| Другие случаи, не соответствующие указанным критериям | 0 |
| Максимальный балл | 2 |
Пример 1.
Оцените это решение в баллах:
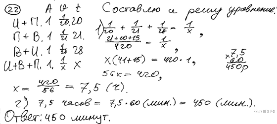
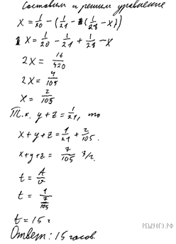
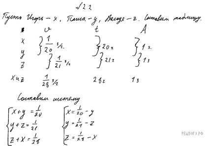
Задание № 342565
Игорь и Паша могут покрасить забор за 20 часов, Паша и Володя — за 21 час, а Володя и Игорь за 28 часов. За какое время покрасят забор мальчики, работая втроем. Ответ дайте в минутах.
Решение
Ответ: 900 минут.
Пример 1.
Оцените это решение в баллах:
Пример 2.
Оцените это решение в баллах:
Пример 3.
Оцените это решение в баллах:
Пример 4.
Оцените это решение в баллах:
Наверх
Вернуться на основную страницу «Школы экспертов»

