Ниже представлены ученические решения экзаменационных заданий. Оцените каждое из них в соответствии с критериями проверки заданий ЕГЭ. После нажатия кнопки «Проверить» вы узнаете правильный балл за каждое из решений. В конце будут подведены итоги.
Задание 311242
Задание 311252
Задание 349101
Задание 352498
Задание № 311242
Площадь треугольника ABC равна 80. Биссектриса AD пересекает медиану BK в точке E, при этом BD : CD = 1 : 3. Найдите площадь четырехугольника EDCK.
Решение
Пусть тогда
так как
по свойству биссектрисы. Значит,
Пусть S — площадь треугольника ABC, тогда
Таким образом,
Ответ: 36.
| Критерии оценивания выполнения задания | Баллы |
|---|---|
| Ход решения верный, все его шаги выполнены правильно, получен верный ответ | 2 |
| Ход решения верный, чертёж соответствует условию задачи, но пропущены существенные объяснения или допущена вычислительная ошибка | 1 |
| Другие случаи, не соответствующие указанным критериям | 0 |
| Максимальный балл | 2 |
Пример 2.
Оцените это решение в баллах:
Задание № 311252
Стороны AC, AB, BC треугольника ABC
и 1
Решение
Рассмотрим подобные треугольники ABC и AKC и установим соответствие между их углами. Сторона AC — наибольшая в треугольнике ABC, а значит, угол ABC — наибольший угол треугольника ABC. Так как в треугольнике AKC есть тупой угол KAC, то в треугольнике ABC это угол ABC. Следовательно, угол ACB треугольника ABC не равен углу KAC треугольника AKC. Он также не равен углу KCA, потому что больше его — луч CK проходит между лучами CA и CB. Следовательно, Применяя теорему косинусов в треугольнике ABC имеем:
Ответ:
Пример 1.
Оцените это решение в баллах:
Задание № 349101
В треугольнике ABC биссектриса угла A делит высоту, проведенную из вершины B, в отношении 25 : 24, считая от точки B. Найдите радиус окружности, описанной около треугольника ABC, если
Решение
Обозначим BH высоту, проведенную из вершины B. Биссектриса, проведенная из угла A, делит высоту в отношении, равному отношению AB и AH. Значит, поэтому
По теореме синусов, радиус описанной около треугольника ABC окружности равен отношению стороны треугольника к удвоенному синусу противолежащего угла:
Ответ: 25.
Пример 1.
Оцените это решение в баллах:
Пример 2.
Оцените это решение в баллах:
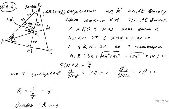
Задание № 352498
В треугольнике ABC биссектриса угла A делит высоту, проведенную из вершины B, в отношении 5 : 4, считая от точки B. Найдите радиус окружности, описанной около треугольника ABC, если
Решение
Обозначим BH высоту, проведенную из вершины B. Биссектриса, проведенная из угла A, делит высоту в отношении, равному отношению AB и AH. Значит, поэтому
По теореме синусов радиус описанной около треугольника ABC окружности
Ответ: 5.
Пример 1.
Оцените это решение в баллах:
Пример 2.
Оцените это решение в баллах:
Пример 3.
Оцените это решение в баллах:
Наверх
Вернуться на основную страницу «Школы экспертов»

