Ниже представлены ученические решения экзаменационных заданий. Оцените каждое из них в соответствии с критериями проверки заданий ЕГЭ. После нажатия кнопки «Проверить» вы узнаете правильный балл за каждое из решений. В конце будут подведены итоги.
Задание 311236
Задание 311237
Задание 311243
Задание 338713
Задание 339002
Задание № 311236
Разложите на множители:
Решение
Имеем:
Ответ:
| Критерии оценивания выполнения задания | Баллы |
|---|---|
| Правильно выполнены преобразования, получен верный ответ | 2 |
| Решение доведено до конца, но допущена ошибка вычислительного характера или описка, с её учётом дальнейшие шаги выполнены верно | 1 |
| Другие случаи, не соответствующие указанным критериям. | 0 |
| Максимальный балл | 2 |
*Ошибка в знаках при группировке слагаемых считается существенной, при ее наличии решение не засчитывается.
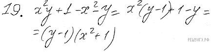
Пример 1.
Оцените это решение в баллах:
Пример 2.
Оцените это решение в баллах:
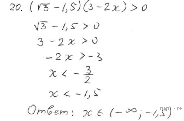
Задание № 311237
Решите неравенство
Решение
1) Определим знак разности Так как
и
то
2) Получаем неравенство Отсюда
Ответ: Другая возможная форма ответа:
Пример 1.
Оцените это решение в баллах:
Пример 2.
Оцените это решение в баллах:
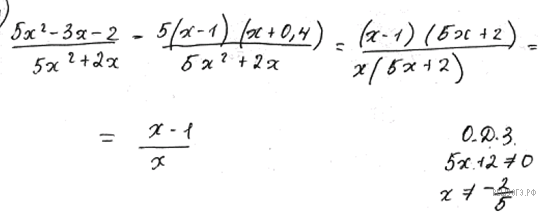
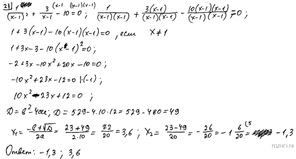
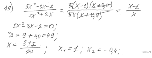
Задание № 311243
Сократите дробь
Решение
Корни квадратного трехчлена
Имеем:
Замечание. Учащийся может разложить трехчлен на множители каким-либо иным способом. Например:
Ответ:
Пример 1.
Оцените это решение в баллах:
Пример 2.
Оцените это решение в баллах:
Задание № 338713
Решите уравнение
Решение
Пусть тогда
откуда
или
Вернемся к исходной переменной:
Ответ:
Пример 1.
Оцените это решение в баллах:
Пример 2.
Оцените это решение в баллах:
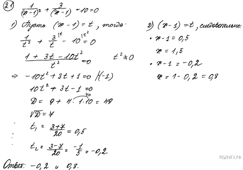
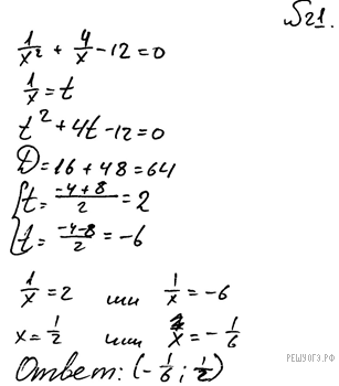
Задание № 339002
Решите уравнение
Решение
Пусть тогда
откуда
или
Вернемся к исходной переменной:
Ответ:
Пример 1.
Оцените это решение в баллах:
Пример 2.
Оцените это решение в баллах:
Пример 3.
Оцените это решение в баллах:
Наверх
Вернуться на основную страницу «Школы экспертов»

